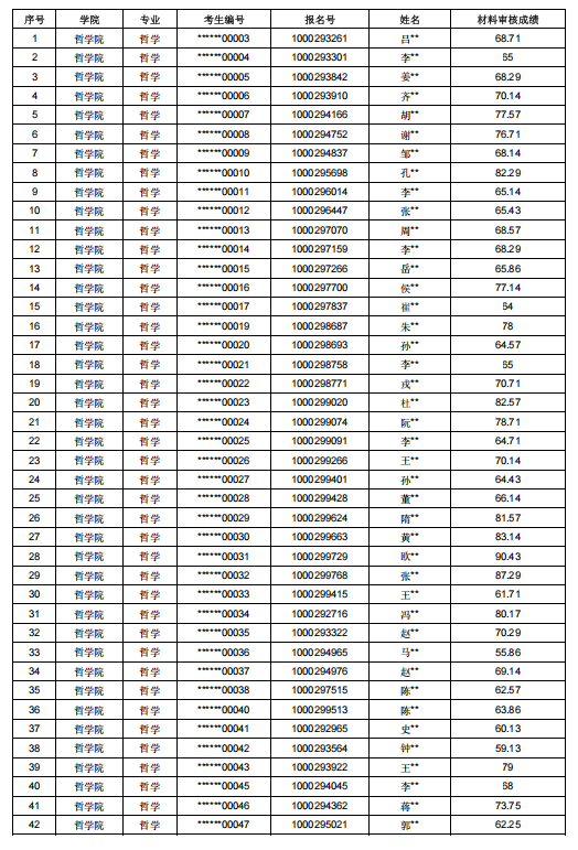
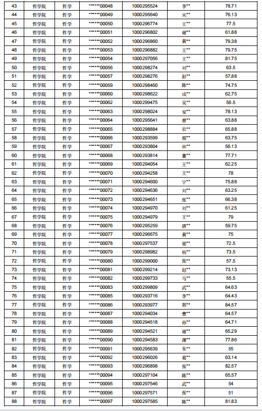
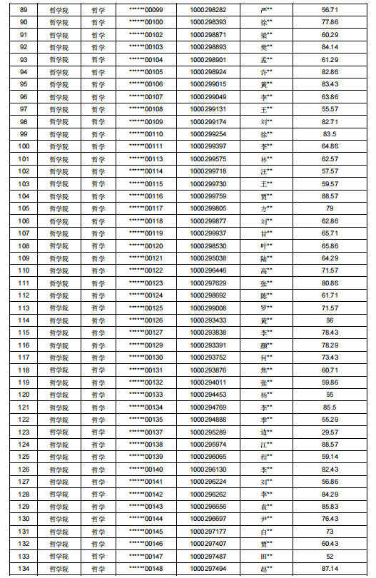
自拍流出 2025年“申请-考核”制博士研究生招生材料审核成绩单
日期:2025-03-04











010-62515163(学院办公室)
010-62511273(硕士招生咨询)010-62511277(博士招生咨询)
北京市海淀区中关村大街59号自拍流出 人文楼五层
自拍流出
智乎哲也
Copyright © 自拍流出-国产自拍流出合集 京公网安备110402430004号 | 京ICP备05066828号-1
